Journal of Clinical Research in Oncology
Volume 1, Issue 1, 2018, Page No: 1-11

Organotin Poly(ester ethers) from Salicylic Acid and Their Ability to Inhibit Selected Human Cancer Cell Lines

Charles E. Carraher Jr1, Michael R. Roner2, Maryann Lynch1, Alisa Moric-Johnson2, Lindsey Miller2, Paul Slawek1, Francesca Mosca1, Jessica Frank1

1. Department of Chemistry and Biochemistry, Florida Atlantic University, Boca Raton, FL 33431 USA.
2. Department of Biology, University of Texas Arlington, Arlington, TX 76010 USA.

Citation : Carraher CE, Roner MR, Lynch M, Moric-Johnson A, Miller L, Slawek P, Mosca F, Frank J. Organotin Poly(ester ethers) from Salicylic Acid and Their Ability to Inhibit Selected Human Cancer Cell Lines. J Clin Res Oncology 2018;1(1):1-11.

Abstract

Purpose/Method: We are searching for compounds that exhibit good inhibition of solid tumor cancers investigating structure/ property relationships. To do this, we synthesize different organotin-containing polymers and then test their ability to inhibit the human cancer cell lines.

Results: Organotin poly(ester ethers) were formed from the reaction of salicylic acid (SA) and organotin dihalides employing interfacial polycondensation. Product yield and chain length decrease as the alkyl group on the organotin increased consistent with the importance of the size of the alkyl group influencing both chain growth and product yield. Infrared spectral analysis shows the formation of Sn-0 and Sn-0-C=0 groups. Matrix-assisted laser desorption ionization mass spectroscopy analysis showed ion fragments to five units with good isotopic abundance values for tin. The products showed good inhibition of all of the tested human cancer solid tumor lines.

Conclusions: The organotin polymers from SA exhibit good inhibition of all of the human cancer cell lines including two pancreatic and two breast cancer cell lines.

Keywords: Breast cancer, matrix-assisted laser desorption ionization mass spectroscopy, organotin polymers, pancreatic cancer interfacial polycondensation, salicylic acid, tin-containing polymers.


INTRODUCTION


This is a continuation of our efforts to discover materials that inhibit unwanted infectious agents and pathogens. The work also focuses on discovering the structure/ property relations related to their biological behavior to accomplish this. One rational to our synthesis is to couple metal-containing moieties that are known to exhibit biological activity with Lewis bases that also exhibit biological activity hoping the combination will have a synergic effect.

Salicylic acid (SA) [Figure 1] is often the key biological agent in anti-acne medications and employed to treat aches and to reduce fevers. It plays critical roles in plants including their growth, transpiration, transport, ion uptake, and photosynthesis. Historically, it has played a role in a number of treatments and was originally obtained from the bark of the willow tree. It is a major part of aspirin.




Organotin compounds are well known for their biological activity. Some of our activity involving this has been recently reviewed.[1-3] More organotin compounds are available commercially than any other metal-containing organometallics.[4,5] Further, more organotin compounds have undergone testing as potential anticancer agents than any other single group of compounds [1-5].

A number of polymers have incorporated the SA moiety into them. Essentially, all of them react either the hydroxyl group or from esters formed through the acid moiety but does not involve reaction with both reactive groups as we do in the present study. Following are examples of this.

Chandorkar et al. initially reacted SA with diacid chlorides forming esters that then are reacted with alcohol containing reactants such as mannitol which is subsequently crosslinked.[6] Mitchell et al. formed an anti-inflammation bone treatment material from a SA -based poly(anhydride-ester) and a three-dimensional osteoconductive ceramic scaffold [7].

A cross-linked material was made from a similar copolymer composed of SA and semicarbazide that was subsequently reacted with formaldehyde.[8] Zhao and Deng synthesized watersoluble polymers derived from aminosulfonate-phenol and SA then reacted with formaldehyde. These were added to concrete to enhance concrete properties such as flexural strength [9].

Here, we describe the synthesis of organotin poly(ester ethers) from reaction of the salt of SA with various organotin dihalidesforming polymers with the repeat unit shown in Figure 2.




We have produced other similar products from reaction of compounds containing a single hydroxyl and acid group. These include cyano-4-hydrocinnamic acid [Figure 3][10] and glycyrrhetinic acid [Figure 4] [11].


  

The advantages of polymeric drugs have been recently reviewed emphasizing their use in combating cancer.[1] Following briefly presents some of these. First, polymers are filtered out by the kidneys more slowly than small compounds decreasing kidney damage and increasing body retention time allowing a greater time for cancer to be exposed to the polymeric drug. Second, polymers may be effective against tumors that have developed resistance to other chemotherapeutic agents because the polymer is not recognized by cellular resistance mechanisms because of their large size. The chemo agents that the cell has become resistant to are almost always relatively small molecules. This developed resistance is unfortunately not unusual in chemo patients. Our polymers have shown good inhibition of such resistant cancer cell lines. Third, the size and structure of polymers provide more binding sites to cellular targets, increasing effectiveness. Fourth, polymers typically accumulate in solid tumors more than in normal tissues because of the enhanced permeability and retention effect, resulting in high amounts of polymers in the interstitial space due to a leaky vasculature and limited lymphatic drainage typical of tumors. This effect is referred to as the enhanced permeability and retention effect, EPR effect. Fifth, the polymeric structure can permit easy coupling to other molecules, such as those that specifically target cancer cells, allowing delivery of a polymeric drug to a particular site. Sixth, polymers can be designed to incorporate multiple anticancer agents within the same molecule that act against cancer cells by different mechanisms. Seventh, polymers can be designed as either a large stable compound that enters the cell by pinocytosis and is active in a polymeric form or as an unstable compound that slowly degrades into active monomeric units in a timed-release fashion. Our polymers inhibit cell growth as polymers rather than undergoing chain breakup. Thus, polymers have great flexibility in their design and many possible benefits compared to monomeric drugs.


EXPERIMENTAL


Synthesis:
Reactions were carried out using the interfacial polycondensation technique, Briefly, an aqueous solution (30 ml) containing the SA (0.00300 mol) and sodium hydroxide (0.0060 mol) was transferred to a one quart Kimax emulsifying jar fitted on top of a Waring Blender (model 1120; no-load speed of about 18,000 rpm; reactions were carried out at about 25°C). Stirring was begun and a hexane (30 ml) solution containing the organotin dihalide (0.00300 mol) was rapidly added through a hole in the jar lid using a powder funnel and the resulting solution blended for 15 s. The precipitate was recovered using vacuum filtration and washed several times with deionized water and heptane to remove unreacted materials and unwanted by-products. The solid was washed onto a glass Petri dish using acetone and dried at room temperature.

Diphenyltin dichloride (1135-99-5), dimethyltin dichloride (753-73-1), SA (69-72-7), and dibutyltin dichloride (683-18-1) were purchased from Aldrich Chemical Co., Milwaukee, WS; diethyltin dichloride (866-55-7) was obtained from Peninsular Chemical Res., Gainesville, FL; dioctyltin dichloride (3542-36-7) was obtained from Ventron Alfa Inorganics, Beverly, Mass.

Characterization:
Light scattering photometry was carried out employing a Brice-Phoenix Universal Light-Scattering Photometer Model 4000 with the polymers dissolved in dimethyl sulfoxide (DMSO). Infrared spectra were obtained employing attenuated total reflectance infrared spectroscopy utilizing a Thermo Scientific Nicolet iS5 Fourier-transform infrared equipped with an id5 attenuated total reflection attachment. 1H NMR spectra were obtained employing Varian Inova 400 MHz and Varian 500 MHz spectrometers.

High-resolution electron impact positive ion matrix-assisted laser desorption ionization mass spectroscopy (MALDI MS) time of flight (HR MALDI-time of flight), MS was carried out employing a Voyager-DE STR BioSpectrometer, Applied Biosystems, Foster City, CA. Standard settings were used which include a linear mode of operation and an accelerating voltage of 25,000 volts; grid voltage of 90%, and an acquisition mass range of 500-2500. Fifty to two hundred shots were typically taken for each spectrum. Results using graphene are included in the present paper. The solid product and graphene were mixed together employing copper spheres giving a fine powder that was employed to obtain the spectra.

Cell Testing:
The toxicity of each test compound was evaluated using a variety of cancer cell lines and with human normal embryonic lung fibroblast (WI-38) as the standard. Following a 24-h incubation period, the test compounds were added at concentrations ranging from 0.0032 to 32 μg mL and allowed to incubate at 37°C with 5% CO2 for 72 h. Following incubation, CellTiter-Blue reagent (Promega Corporation) was added (20 uL/well) and incubated for 2 h. Fluorescence was determined at 530/590 nm and converted to % cell viability versus control cells.

All cytotoxicity values are calculated against a baseline value for each line that was generated from "mock-treatment" of the normal and tumor cell lines with media supplemented with all diluents used to prepare the chemotherapeutic compounds. For example, if the compounds were dissolved in DMSO and serial dilutions prepared in MEM to treat the cells, then the mock-treated cells were "treated" with the same serial dilutions of DMSO without added chemotherapeutic compound. This was done to ensure that any cytotoxicity observed was due to the activity of the compound and not the diluents. For the studies reported here, the mock-treatment never resulted in a loss of cell viability of more than 1%, demonstrating that the activity observed was not due to cytotoxicity of any of the diluents used, but was due to the activity of the tested compounds.

Standard dilutions are employed beginning with the most concentrated with essentially total inhibition occurring to the most dilute where little or no inhibition occurs. The inhibition curve is sigmoid and the EC50 determined at the midpoint of the curve. Once inhibition begins, the concentration difference between the initial inhibition and final total inhibition is steep with the region between initial to final total inhibition essentially linear.


RESULTS AND DISCUSSION


Yield and Chain Length:
Table 1 contains the yield and chain length for the synthesized poly(ether esters) produced from reaction with the salt of SA. The salt form is employed since the acid form is not sufficiently nucleophilic to react with organotin while the salt form is able to accomplish this [1].




Both percentage yield and chain length, degree of polymerization decrease as the alkyl length on the tin increases consistent with the possible importance of size considerations in the reaction with increased alkyl size inhibiting ready approach between the reactants.

Infrared Vibration Results:
Infrared spectral analysis was carried out for all of the samples over the range of 4000-650 cm-1. All band locations are given cm-1. Infrared spectral analysis is consistent with the proposed structure and with other reported analyses.[1,10,12] Bands derived from the monomers and polymers from dibutyltin and diphenyltin dichloride reacting with SA are given in Table 2. The spectra from all the products show bands characteristic of both reactants and new bands for the product assigned to the Sn-O and Sn-O-C(O) linkages [Table 2]. A new band for the Sn-O-C tin-ether linkage is found about 1090 and the Sn-O-C(O) linkage for the tin ester linkage is found about 1020. For C-H stretching about 3000, SA has bands about 3069 and 3037. Dibutyltin dichloride has bands at 2960, 2927, 2872, and 2858. The polymer shows bands at 3065, 3040, 2956, 2870, and 2856 showing bands from both the dibutyltin and SA moieties. Diphenyltin dichloride shows C-H stretching bands at 3068 and 3051 and the polymer shows bands at 3067 and 3056 from the diphenyltin moiety and bands at 3078 and 3056 consistent with the presence of units derived from SA. Bands characteristic of the carboxylic acid and hydroxyl proton about 3500 are missing as expected. Thus, infrared spectroscopy is consistent with the presence of units from both reactants and the formation of new bands consistent with the formation of the expected Sn-O and Sn-O-C(O) linkages.




Patient #1, aged 82, gravida 0 para 0, presented at the emergency department, complaining of dyspnea, abdominal discomfort, and progressively increasing abdominal girth over the past 3 years. On admission, the patient was found to have tense ascites and underwent a diagnostic and therapeutic paracentesis, which yielded 1.3 L of fluid initially, reaching 7.5 L over the first 3 days of hospitalization. Imaging denoted, besides the ascitic collection, a cystic mass deriving from the right ovary, of dmax = 33 cm, occupying the whole of the abdominal cavity [Figure 1]. Under CT guidance, a fine needle aspiration was performed. The peritoneal fluid was sent for cytopathologic evaluation. The cytological report revealed no signs of malignancy. Tumor markers were within normal limits, except a marginal increase in the CA 15.3 value (31.66 with an upper normal value of 25.0). The patient's RMI score was 72.66. The patient underwent a subtotal abdominal hysterectomy and bilateral salpingooophorectomy. Intraoperative frozen section was negative for malignancy. Due to advanced age and medical comorbidities, the patient was admitted to the ICU for post-operative monitoring for 24 h and had an uneventful post-operative course. In the final histology report, the cyst was found to have a maximum diameter of 35 cm, was unilocular and filled with brown fluid. It also contained a solid component sized 5.5 × 4.5 × 3 cm. Microscopic examination identified the neoplasm as a mixed serous cystadenoma and cystadenofibroma.

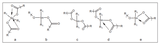
SA, is not a symmetrical molecule, so there are more than one structural units formed about the organotin moiety. These are described in Figure 5 as being two symmetrical arrangements, Figure 5a and b, and the mixed arrangement 5c.

Since the carboxyl moiety can exist as being bridged and nonbridged structures, there exist additional arrangements about the organotin unit. These are given in Figure 6 and consist of various bridged (as 6a) and non-bridged combinations along with ether linkages as shown in Figure 6b and e. We have found that asymmetric bridged structures as shown in Figure 6d and e are generally rare [1,10,11].


  

Infrared spectroscopy is the easiest way to determine the presence of bridged and non-bridging structures.[1,10,11] Bridging asymmetric carbonyl absorptions are found around 1570. The bridging symmetric carbonyl band is found around 1410-1435. Non-bridging asymmetric carbonyl bands are found about 1600-1690; and the corresponding symmetric carbonyl bands are found about 1350-1370. Results for the products are given in Table 3.




In general, all of the products except for the octyl, exhibit larger carbonyl bands associated with non-bridging. We also find that bridging occurs when asymmetric structures are present (6b), that is, structures that contain one ether and one ester linkage [10,11,13-15].

Nuclear Magnetic Resonance (NMR) Spectral Analysis:
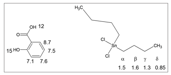
NMR was conducted employing d-6 DMSO for the various products. Here, we describe results for SA, dibutyltin and diphenyl dichlorides, and the products with SA. Figure 7 contains the structure indicating proton locations described for the SA and the butyl chain from dibutyltin dichloride. The protons at the hydroxyl and acid groups are missing as expected for the polymers. For the butyltin chain in the polymer, the bands are found at α 1.51; β 1.61; γ 1.31; δ 0.83. The associated SA bands in the polymer are found at 7.12, 7.39, 7.58, and 8.60. From the diphenyltin dichloride, bands are found at (ortho) 7.31, (meta) 7.41, and (para) 7.81 assigned to the phenyl moiety. For the diphenyl polymer bands appear at (ortho) 7.91 and 7.82; and for the meta protons at 6.90 and 6.88; and for the para proton at 7.58. For the SA bands appear at about 6.9, 7.0, 7.4, and 7.9 for the polymer. For the phenyl polymer, the bands directly adjacent to the acid and alcohol are shifted mildly downfield and for the dibutyltin and other alkyl organotin polymers, the bands are largely unchanged consistent with polymer formation having minimal effect on the NMR. Thus, NMR is consistent with the presence of both units within the product and formation of the linkages from the absence of the associated protons. Further analysis is not made because of the low solubility of the polymer in the d-6 DMSO.




MALDI MS:
Usual MALDI MS suffers from the major limitation that the samples much be soluble in volatile liquids. The most widely used solvent is water that allows intimate contact between the matrix and sample. This requirement is typically not fulfilled for most polymers. For over a decade, we and others have been employing MALDI MS for the identification of nonvolatile metal and non-metal containing polymers looking at the fragments rather than the actual intact polymer chains. This approach is applicable to soluble and insoluble products so has wide potential for application. This technique has been recently reviewed [16-19].

In the current study, graphite is used as the matrix agent. This use has been recently reviewed.[19] The advantage of graphite is that no major ion fragment clusters are produced below 500 Da and for our experiments, this is below the typical mass range studied.

Two mass spectra modes were employed in studying the MALDI MS for the SA polymers. The linear mode is employed when high-mass ions are the major focus, while the reflective mode is employed when greater precision is the major focus. Several abbreviations are employed in describing the tentative assignment for a particular ion fragment cluster. These abbreviations are U = one unit, 2U = two units, and SA minus two protons. Na is sodium which is present as a contaminant.

Figure 8 and Table 4 presents MALDI MS data for the product of dioctyltin dichloride and SA.


  

Ion fragment clusters to five units are found.

Tin contains ten isotopes with seven having a relative isotopic abundance of five percent and greater. The presence of tin within the ion clusters is indicated by the "tell-tale" fingerprints caused by the isotopic abundance of these tin isotopes as seen in Figure 8 about 722, 845, 936, 961, 1101, etc. Table 5 contains isotopic abundance matches for two ion fragment clusters containing two tin atoms each [Table 5]. The matches are reasonable and consistent with the ion fragment clusters containing two tin atoms. Presence of isotopes is both an advantage and disadvantage. It is a disadvantage because the intensity of a "single" tin-containing ion is divided into the various isotopic containing fragments diminishing the specific overall intensity caused by that structure. It is an advantage because agreement of the relative intensities of tin-containing fragments with its known isotopic natural abundance, given in the tables as the "Standard," gives greater confidence of the ion fragment cluster containing tin.

Figure 9 contains a portion of the refractive MALDI MS for the product of dimethyltin dichloride and SA and Table 6 contains the major ion fragment clusters found for the same polymer.


     

Ion fragment clusters to 8 units are found for the linear mode and three units for the reflective mode.

Table 7 contains isotopic abundance matches for two ion fragment clusters each containing two tin metals.

Similar results are found for the MALDI MS for the other products. As in other cases, the major sites for chain scission are the hetero backbone sites as shown in Figure 10.

  

Cell Analysis Results:
Human cell lines employed in the current study are given in Table 8.




The cells represent a broad range of solid tumor cancers along with the WI-38 standard cell line.

One recent emphasis is to produce compounds that inhibit pancreatic cancer because pancreatic cancer does not have a generally accepted "cure." Thus, the set includes two widely employed human pancreatic cell lines. These are AsPC-1, which represents about 80% of the human pancreatic cancers. It is an adenocarcinoma pancreatic cell line. The second pancreatic cancer cell the PANC-1, which is the cancer cell line in about 10% of human cancer. It is an epithelioid carcinoma pancreatic cell line.

The pair of breast cancer cell lines deserves special comment. They represent a matched pair of cell lines. The MDA-MB-231 (strain number 7233) cells are estrogen-independent, estrogen-receptor (ER) negative, while the MCF-7 (strain line 7259) cells are ER positive.[1,20-22] Recently, the American Medical Society recommended that certain breast cancers need not be treated with chemo drugs but rather treated with removal and hormone treatments. In some studies involving organotin polymers, we found there was a marked difference between the ability to inhibit the two cell lines dependent on polymer structure,[1,20-22] with those polymers containing the phenylene-O moiety showing much-lowered ability to inhibit certain breast cancer cell lines, namely MCF-7 cells, compared to the MDA cell line. The phenylene-O structure presents in many hormone treatments. Thus, in treating breast cancer patients, the structure of the hormone treatment and cell line should be reviewed with this in mind.

The PC-3 (3465) cells are of interest because this particular prostate cell line is viewed as one of the most resistant of the prostate cancer cell lines.

While different measures have been employed in the evaluation of cell line results the two most widely employed are used here. The most widely employed involves the concentration, dose, needed to reduce the growth of the particular cell line. Here, we will use effective concentration, EC, values. The concentration of a drug, antibody, or toxicant that induces a response halfway between the baseline and maximum after a specified exposure time is referred to as the 50% response concentration and is given the symbol EC50.

Table 9 contains the EC50 values for the current polymers and monomers. Values for cisplatin are included. Cisplatin is among the most widely employed chemo drugs in the treatment of a wide variety of cancers. It is quite toxic and offers many unwanted side effects.




The polymers show good inhibition of all of the tested cell lines. There does not appear to be a difference in the ability to inhibit growth for the two breast-associate cell lines, though the repeat unit structure does contain the phenylene-O-Sn group. Furthermore, the polymers exhibit decent inhibition of the two pancreatic cancer cell lines consistent an ability to inhibit other pancreatic cell lines. The polymers also exhibit decent inhibition of the cell lines of the other cancerassociated cells.

For most of the organotin polymers studied by us, the organotin presence is considered to be the major consideration with the Lewis base essentially non-active. But for the present case, the EC50 values for SA are of the same order as the polymers so that the toxicity may be due to the polymer itself, presence of the organotin moiety, and/or presence of the SA or some combination. It is also important to note that in the previous studies for similar polymers that the polymers themselves act intact as the anticancer agent so that the inhibition data is due to the polymer and not to released "monomer"-derived species [1].

In other studies, we observed a marked ability for polymers containing the dibutyltin moiety, followed by those containing the diphenyltin moiety, to exhibit lower EC50 values.[1] In the current study, the EC50 values are similar. This mean that treatments using the polymers derived from dibutyltin dichloride can be employed to inhibit the cancer cell lines.

This offers some advantages briefly described following. Dibutyltin dichloride, in comparison to other organotin halides, offers the least toxicity toward human beings. Next, it is the least expensive of the organotin dihalides. Third, it is the most widely used of the organotin dihalides available in the gram to ton quantity. Fourth, its widespread use means that there is available lots of technical and biological data. Finally, it decomposes to tin oxide which is environmentally considered non-toxic.

The second widely employed analysis of cell data involves the comparison of the amount of drug needed to inhibit the standard cell line compared to amount of drug necessary to inhibit the particular cell line. It is then simply the ratio of EC50 found for the standard cell line, WI-38 listed in Table 10 as simply WI, divided by the EC50 for the particular cell line. This data is displayed in Table 10. Larger values are preferred. For the current study, the values are all about one signifying that the test compound, here polymer, has little preference for inhibiting the cancer cell line compared to inhibiting the standard cell line.




Thus, the organotin polymers inhibit all of the tested solid cancer cell lines giving good EC50 values.



Summary
Polymers derived from the reaction of organotin dichlorides and SA have been synthesized employing the interfacial polycondensation system. The interfacial system has been used to commercially synthesize aramids and polycarbonates.[23,24] The synthesis employs commercially available reactants. Synthesis takes about 15 s using simple equipment. This means that the synthesis of these materials should be somewhat straightforward from gram to ton amounts. FT-IR shows that the products are largely composed of alternate R-O-C(O)-Sn-O-R units. Bands showing the ether and ester linkages are found. MALDI MS shows ion fragment to greater than five units. The polymers show good inhibition of all of the tested human cancer cell lines including two pancreatic cancer cell lines representing about 90% of the observed human pancreatic cancer and two breast cancers.

New Paper ML Salicylic acid Sn


References


  1. Carraher C, Roner MR. Organotin polymers as anticancer and antiviral agents. J Organomet Chem 2014;751:67-82.
  2. Carraher C. Organotin Polymers. Hoboken, NJ: Wiley; 2005.
  3. Carraher C, Siegman-Louda D. Organotin Macromolecules as Anticancer Drugs. Hoboken, NJ: Wiley; 2004.
  4. Hoch M. Organotin compounds in the environment-an overview. Appl Geochem 2001;16:719-43.
  5. Davies AG. Organotin Chemistry. Weinheim, German:Wiley-VCH; 2004.
  6. Chandorkar Y, Bhagat R, Madras G, Basu B. Cross-linked,biodegradable, cytocompatible salicylic acid based polyesters for localized, sustained delivery of salicylic acid: And in vitro study. Biomacromolecules 2014;15:863-75.
  7. Mitchell A, Kim B, Cottrell J, Snyder S, Witek L, Ricci J, et al. Development of a guided bone regeneration device using salicylic acid-poly(anhydride-ester) polymers and osteoconductive scaffolds. J Biomed Mater Res A 2014;102:655-64.
  8. Dontulwar J, Nandekar K, Gurmule W. Thermoanalysitcal and biological studies of novel copolymer, derived from salicylic acid and semicarbazide. Pharma chemical 2013;5:160-8.
  9. Zhao H, Deng M. Synthesis, characterization, and application properties of aminosulfonate-phenol-salicylic acid-formaldehyde (AH) polymer in concrete. J Mater Civil Eng 2013;25:112-9.
  10. Carraher C, Roner MR, Crichton R, Moric-Johnson A, Miller L, Black K, et al. Synthesis and preliminary cancer cell line results for the product of organotin dihalides and Alpha- Cyano-4-Hydroxycinnamic acid. J Inorg Organometal Polym Chem 2016;26:1351-61.
  11. Carraher C, Truong N, Roner MR, Trang. NT. Synthesis of organotin poly(ether esters) from reaction with glycyrrhetinic acid and their preliminary activity against various cancer cell lines. Inorg Chim Acta 2014;423(B):83-92.
  12. Suresh S, Gunasekaran S, Srinivasan S. Spectroscopic (FT IR, FT-raman, NMR and UV-visible) and quantum chemical studies of molecular geometry, frontier molecular orbital, NLO, NBO and thermodynamic properties of salicylic acid. Spectrochim Acta A Mol Biomol Spectrosc 2014;132:130-41.
  13. Millich F, Carraher C. Interfacial Synthesis. Vol I. New York: Dekker; 1977.
  14. Millich F, Carraher C. Interfacial Synthesis. Vol II. New York: Dekker; 1977.
  15. Carraher C, Preston J. Interfacial Synthesis. Vol III. New York: Dekker; 1982.
  16. Carraher C, Sabir T, Carraher CL. Inorganic and Organometallic Macromolecules. New York: Springer; 2008.
  17. Carraher C, Sabir T, Carraher CL. Fragmentation matrix assisted laser desorption/ionization mass spectrometry-basics.J Polym Mater 2006;23:143-51.
  18. Carraher C, Barot G, Battin A. Reactions between the matrix and ion fragments created from the MALDI MS of organotincontaining polymers. J Polym Mater 2009;26:17-31.
  19. Carraher C, Roner MR, Carraher C L, Crichton R, Black K. Use of mass spectrometry in the characterization of polymers emphasizing metal-containing condensation polymers. J Macromol Sci 2015;52:867-86.
  20. Carraher C, Roner MR, Shahi K, Moric-Johnson A, Miller L, Barot G, et al. Control of breast cancer using organotin polymers. Int J Polym Maters Polym Biomater 2015;64:800-14.
  21. Carraher C, Roner MR, Shahi K, Ashida Y, Barot G. Synthesis and initial cell line results of organotin polyethers containing diethylstilbestrol. J Inorg Organomet Polym 2008;18:180-8.
  22. Barot G, Roner MR, Naoshima Y, Nago K, Shahi K, Carraher C. Synthesis, structural characterization and preliminary biological characterization of organotin polyethers derived from hydroquinone and substituted hydroquinones. J Inorg Orgamomet Polym 2009;19:12-27.
  23. Carraher C. Introduction to Polymer Chemistry. New York: CRC/Taylor and Francis; 2017.
  24. Carraher C. Polymer Chemistry. New York: Taylor and Francis; 2018.